Multiple Choice Identify the
choice that best completes the statement or answers the question.
|
|
|
1.
|
Find the domain of the rational function. 
|
|
|
2.
|
Find the domain of the rational function. 
|
|
|
3.
|
Find the domain of the rational function. 
|
|
|
4.
|
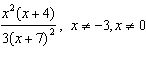
Simplify the rational expression. 
|
|
|
5.
|
Simplify the rational expression. 
|
|
|
6.
|
Multiply and simplify. 
|
|
|
7.
|
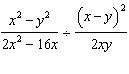
Divide and simplify. 
|
|
|
8.
|
Perform the operations and simplify. 
|
|
|
9.
|
Combine and simplify. 
|
|
|
10.
|
Combine and simplify. 
|
|
|
11.
|
Combine and simplify. 
|
|
|
12.
|
Is  a solution to 
|
|
|
13.
|
Solve the equation. Check for extraneous solutions. 
|
|
|
14.
|
Write a model for the statement. s varies directly as the  of t
|
|
|
15.
|
Write a model for the statement. I varies inversely as the  of V
|
|
|
16.
|
Find the constant of proportionality given  , and  when  .
|
|
|
17.
|
Write an equation that relates the variables. g varies inversely
as the  root of z
|
|
|
18.
|
Write an equation that relates the variables. z is directly
proportional to x and inversely proportional to the  root of y
|
|
|
19.
|
Plot the points from the table given below for  . 
|
|
|
20.
|
Plot the points from the table given below for  . 
|